Lernzentrum
SKS Kartenaufgabe: 3
Frage: 10
Punkte: 1
--:--

Aufgabe

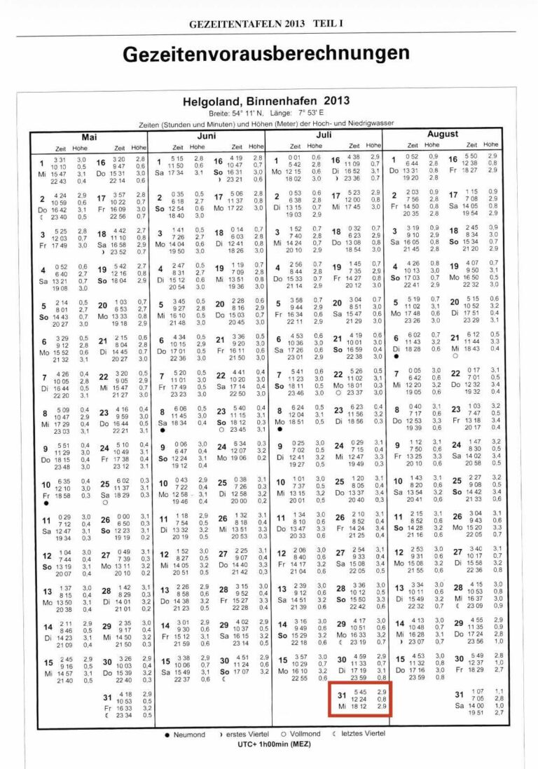
Am Ob werden um 07:00 BZ die Stromverhältnisse ermittelt.

  • Wie setzt dort zu dieser Zeit der Strom in Richtung (StR) und Stärke (StG) nach Seekarte?

Offizielle Musterlösung

Magentafarbene Raute „D“ der Gezeitenstromangabe
HWZ Helgoland 31.07.2013: 05:45 MEZ = 06:45 MESZ/BZ
Alter der Gezeit: Nippzeit (NpZ)

07:00 BZ = 15 min nach HWZ Helgoland ≈ HWZ Helgoland

Antwort (1 Punkt)
StR = 100° [Keine Toleranz]
StG = 0,3 kn [Keine Toleranz]

Lösungsweg

  1. Alter der Gezeit bestimmen
  2. HWZ Helgoland bestimmen und auf BZ umrechnen
  3. Stromstunde bestimmen
  4. Stromraute aus Seekarte bestimmen
  5. Werte aus Gezeitenstromtabelle entnehmen
Deine Punkte:

Willst du dich optimal auf die Sportküstenschifferschein-Prüfung vorbereiten und dein Wissen vertiefen?

Dann bist du bei SKS-Buddy genau richtig! Mit interaktiven Lernmodulen, realistischen Prüfungsfragen und verständlichen Erklärungen holst du dir das nötige Know-how, um sicher durch die Theorie zu kommen.

Du hast noch keinen Zugang?
In nur wenigen Schritten kannst du dich registrieren und direkt starten.

Dein Feedback zu SKS-Buddy

Wir möchten, dass dein Lernerlebnis mit SKS-Buddy so gut wie möglich ist. Bitte nimm dir einen Moment Zeit, um uns dein Feedback zu geben. Dein Input hilft uns, die Plattform weiter zu verbessern!

Vielen Dank, dass du dir die Zeit genommen hast, uns zu helfen!

🎯 Setz dir dein Ziel!

Wir wissen, wie kraftvoll ein klares Ziel im Leben sein kann – besonders, wenn es um große Vorhaben wie die SKS-Prüfung geht.

Deshalb möchten wir dich ermutigen:
Setze dir jetzt dein persönliches Zieldatum und mach den ersten Schritt Richtung Erfolg auf See!

Bitte logge dich ein, um dein Datum zu speichern.

AdBlock

Hinweis zum Widerrufsrecht

Sobald du beginnst SKS-Buddy zu nutzen, erlischt dein gesetzliches Widerrufsrecht (§ 356 Abs. 5 BGB). Das liegt daran, dass wir dir sofort Zugang zu den digitalen Inhalten geben.

Bist du bereit, SKS-Buddy zu starten?

Nein, zurück zur Startseite.

Mehr Infos findest du in unserer Widerrufsbelehrung.